广州理工学院
网站首页
学院简介
招生信息
成人高等教育
自学考试升学创培班
学院新闻
重要通知
资料下载
资料下载
在线学习
上级政策
关闭导航
学院新闻
网站首页
学院新闻
正文
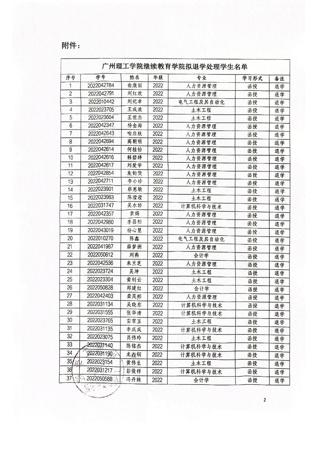
关于给予俞康丽等60名高等学历继续教育学员退学处理的公示
发布时间:2025年10月27日 08:58
发布部门:继续教育学院
字体大小:
小
中
大